
發表時間:2023-11-29 文章來源:電子工程專輯
dB應該是無線通信中最基本,最常用的一個概念了。工作中總是說“傳播損耗是xx dB”、“發射功率是xx dBm”、“天線增益是xx dBi”……
但是這些dBx很容易被弄混,甚至造成計算失誤。今天我們來看一下,它們究竟有什么區別呢?

這事兒咱們還得從dB說起。
首先明確一點,dB是一個功率增益的單位,表示一個相對值,dBm是一個功率的單位,表示一個絕對值。有了這兩個概念的對比我們再來認識dB。

我們在電子工程領域中,經常會看到dB這個參數,如LDO的電壓抑制比是55dB,麥克風的最大聲壓級為125dB……

先來看看歷史由來:
dB展開應寫為decibel,其中“deci-”為十分之一,而“bel”則是電話發明人貝爾的名字。
在上個世紀,通信工程師們發現電話線越長,衰減量越大,比如電線出來的某個距離位置,信號衰減就變成了差不多原來的十萬分之一以下,這時候在交流這一個現象的時候就得描述到“信號衰減為原來的1/100000”,這個“1/100000”在書寫、計算的過程中數值比較多,碰到百萬分之一,千萬分之一的時候交流起來就更加不方便了,因此通信工程師采用了數學上的“對數”來對該數值進行“包裝”,包裝后的數值能更加簡潔且還能還原到原來的實際數值。

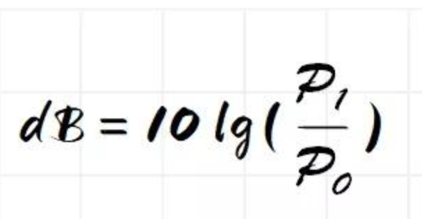
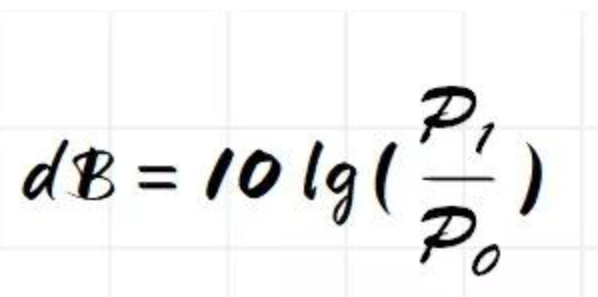
注意:如上的計算是針對功率而言,即:
deciBel=10log10[P(out)/P(in)];

而說到dB,最常見的就是3dB了
為什么3dB是半功率點
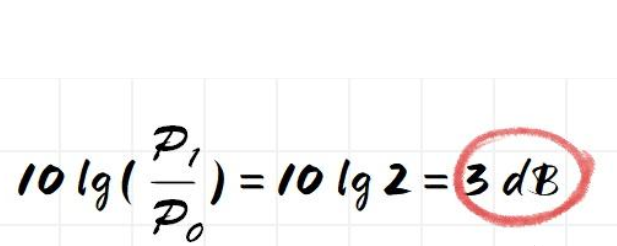
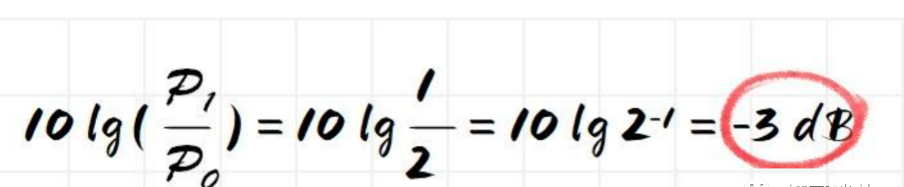
我們經常聽到,+3dB表示增大為兩倍,-3dB表示下降為1/2。這是怎么來的呢?
其實很簡單,讓我們一起看下dB的計算公式:

dB表示功率P1相對于參考功率P0的大小關系。如果P1是P0的2倍,那么:

如果P1是P0的一半,那么:

使用計算器可以計算得出:(lg2 = 0.30102)(lg0.5 = -0.30102)
這里我們可以發現一個很巧妙的地方,用±3dB可以用來表示增大或衰減2倍,這里面得益于log函數的曲線特性,這種特性得以讓x與1/x可以得到一個+y與-y,由此映射到dB上會呈現出對稱性的±dB為增大或縮減倍數。

所以電子領域常用3dB,沒什么神秘的,下降3dB就是指功率下降一半,3 dB點指的就是半功率點。

這里我們想到了另外一個關于3dB的知識點,在放大電路中,通頻帶用于衡量放大電路對不同頻率信號的放大能力,這個通頻帶,我們也會定義為-3dB的帶寬,這里的3dB是怎么定義的呢?

在通頻帶中的定義3dB有所不同,這里是0.707倍,我們來看一下這是怎么定義的。
對于帶寬我們可以粗暴的理解為:系統的有效響應頻率范圍小于-3dB時的頻點。
簡單來說,比如一個系統-3dB的帶寬是1Khz,那么只要系統輸入信號小于1Khz,系統都能正常輸出;對于所有超過1Khz的輸入信號,會被很大程度地衰減,系統的輸出接近為0。
電壓增益的計算公式是:

G為增益,A是電壓放大倍數(注意:是電壓放大倍數),Vo為輸出電壓,Vi為輸入電壓。
G=-3dB時,A=0.707,換句話說,我們把系統放大倍數降低到0.707時的頻點,定義為系統的帶寬,如下圖所示。

可能會有人想,為什么一定要根據-3dB來搞一個0.707,而不把放大倍數降低為50%作為系統帶寬?放大倍數低于50%的信號被抑制,放大倍數高于50%的信號可以正常通過系統,以50%作為分水嶺(閾值)看起來更合理。

這是因為我們看系統的帶寬也要從功率(能量)的角度來看待的,上面系統增益的求解公式可改寫為下面的公式:

Po是輸出功率,Pi是輸入功率,Ap是功率放大倍數(注意:是功率放大倍數),當系統增益G=-3dB時,功率放大倍數Ap剛好等于50%。
我們是從功率的角度,以50%作為分水嶺,來區分通帶和阻帶,定義系統帶寬的。
可以熟記以下幾個典型的dB值
1.典型值:10dB,+10dB表示功率增大為10倍,-10dB表示功率減小為1/10倍,公式推導為:10lg(10) = 10dB;10lg(1/10) = -10dB

2.典型值:0dB,表示輸出與輸入信號一樣大;
3.典型值:30dBm;30dBm --> 10lg1000 -->1W -->0dBW
4.典型值:0dBm;0dBm -->10lg1 --> 1mW --> -30dBW
這里請大家記住一個口訣。記住了這個口訣,你基本就可以橫著走路了。

+3dB, 表示功率增加為2倍; -3dB,表示功率減小為1/2。
+10dB,表示功率增加為10倍;-10dB,表示功率減小為1/10。
可見dB是個相對值,它的使命就是把一個很大或者很小的數,用一個簡短的形式表達出來。

這可以極大地方便我們計算和描述。

這里我們還是從最常用的dBm、dBw來說說吧!
還記得我們前面提到的,dB是相對值,dBm和dBw是絕對值,之所以絕對,就是它相對的是一個固定值。

dBm、dBw就是把dB公式中的參考功率P0分別變換成了參考1 mW、1 W:

1 mW、1 W都是確定的值,因此dBm、dBw都可以表示功率的絕對值。
直接上個功率換算表供大家參考:

這里,我們要記住:
1 W = 30 dBm。
簡化口訣是“30是基準,等于1 W整”。
記住了這條,再結合前面的“加3乘2,加10乘10;減3除2,減10除10”,你就可以進行很多口算了。

OK,有了秘籍,我們馬上練習一招半式。

注意上面的算式中,如果是44dB表示P1為P0的2.5萬倍,46 dBm則表示P1的值為25W。符號中僅僅差了一個m,代表的含義可完全不同。
dB家族中常見的還有dBi、dBd、dBc。它們的計算方法與dB的計算方法完全一樣,表示的還是功率的相對值。
不同的是,它們的參考基準不同,即分母上的參考功率P0所代表的含義不同。
關于dBi,dBd,dBc,dBFs
dBi = Decibels Isotropic
dBd = Decibels Dipole
dBc = Decibels Carrier
dBFS = Decibels Relative to Full-Scale
dBi和dBd都是標識功率增益的相對值,但dBi的參考基準為全方向性天線(isotropic antenna),而dBd的參考基準為偶極子天線(dipole antenna),一般認為,表示同一個增益時,用dBi表示出來比用dBd表示出來的要大2.15;
dBc表示載波功率相對值,可以度量干擾(同頻干擾、互調干擾、交調干擾、帶外干擾)以及耦合、雜散等信號相對量值,在采用dBc的場景,原則上也可以用dB替代;
dBFS中,FS是滿調幅的意思,dBFS通常用于數字格式中的信號度量,最大的數字就是0,代表所有的二進制比特位都是1,因此dBFS原則上只會是負的。
此外,dB家族不僅可以表示功率的增益和損耗,還可以表示電壓、電流、音頻等,大家要具體場景具體應用。
需要注意的是,對于功率的增益,我們用10lg(Po/Pi),對于電壓和電流的增益,要用20lg(Vo/Vi)、20lg(Io/Ii)。

多的這個2倍其實就是功率的物理公式,P= UI = I2R = U2/R

一般來講,在工程中,dB和dB之間只有加減,沒有乘除。而用得最多的是減法:dBm減dBm 實際上是兩個功率相除,信號功率和噪聲功率相除就是信噪比(SNR)。
例如:A功率比B功率大一倍,那么10 lg A/B = 10 lg 2 = 3dB。也就是說,A的功率比B的功率大3dB;
如果A的功率為46dBm,B的功率為40dBm,則可以說,A比B大6dB;
如果A天線為12dBd,B天線為14dBd,可以說A比B小2dB。
如果發射功率P為1mw,折算為dBm后為0dBm。
對于40W的功率,按dBm單位進行折算后的值應為:10lg(40W/1mw)=10lg(40000)=10lg(410^4)=40+10lg4=46dBm。
對于一面增益為16dBd的天線,其增益折算成單位為dBi時,則為18.15dBi (一般忽略小數位,為18dBi)。
0dBd=2.15dBi。
GSM900天線增益可以為13dBd(15dBi),GSM1800天線增益可以為15dBd(17dBi)。